 |
 |
 |
|
|
Potencial Eléctrico |
|
|
|
|
|
Potencial eléctrico. Hemos visto que si en el seno de un campo eléctrico E, situamos una carga de prueba positiva q+ que no introduzca modificaciones en el campo; ésta es repelida con una fuerza según la ley de Coulomb
|
|
|
|
|
|
|
|
|
|
|
|
obligándola a un desplazamiento, que indica un trabajo realizado sobre ella. Este desplazamiento sería hasta los límites del campo, que teóricamente están en el infinito. De la misma forma podemos pensar que si queremos llevar una carga q+ desde el infinito hasta un punto en el seno del campo, en contra de las líneas de fuerza, debemos de ejercer un trabajo; lo que se traduce en la adquisición de una energía potencial que suponemos concentrada en ese punto. Llamamos potencial eléctrico V en un punto, al trabajo necesario para traer una carga unidad positiva desde el infinito a ese punto.(Trabajo entre carga).
|
|
|
|
|
|
|
|
|
|
|
|
Se mide en voltios [V]; un voltio es el trabajo de un julio sobre la carga de un culombio, es decir, 1 V = 1 J/1 C.
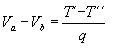
Diferencia de potencial entre dos puntos de un campo. Si tenemos una carga de prueba q+ en el punto a de la fig. ¿qué trabajo realiza para pasar a otro punto b?.
|
|
|
|
|
|
|
|
|
|
|
|
Siendo Va el potencial en el punto a, y T` el trabajo necesario para traer la carga desde el infinito hasta ese punto a, podemos decir que
|
|
|
|
|
|
|
|
|
|
|
|
luego el trabajo necesario para llevar la carga q desde el punto a hasta el b será
|
|
|
|
|
|
|
|
|
|
|
|
o sea
|
|
|
|
|
|
|
|
|
|
|
|
haciendo T`- T`` = T queda
|
|
|
|
|
|
|
|
|
|
|
|
La diferencia Va - Vb es la diferencia de potencial entre los puntos a y b, y mide el trabajo necesario para llevar la carga de prueba desde el punto a hasta el b.
|
|